Urban Wire Family, friends, and communities: Support networks reduce hardship
Gregory B. Mills
Display Date

  As our economy recovers fitfully from the Great Recession, households throughout the United States strive to avoid hardship while dealing with lost income and depleted assets. Middle-class families find themselves in a situation they have rarely encountered: staying one step ahead of deprivation. For households across the income distribution, effective coping requires accessing the economic and emotional support of nearby family members, friends and neighbors, and community organizations.

My colleague Sisi Zhang and I explored recent patterns of social support and material hardship using data from the Survey of Income and Program Participation. We have analyzed the responses of households interviewed in the summer of 2010, about one year after the declared end of the recession.

Expectations Vary in Level of Help From Family, Friends, and Others

Source: Urban Institute analysis of data from Survey of Income and Program Participation

Nationally 42 percent of households indicate that, in a situation of need—such as becoming sick or having to move—they would expect to receive all the help they need from family living nearby. Lesser percentages would rely primarily on friends (33 percent) or other people in the community (19 percent). Interestingly, nearly one-third (31 percent) expect to get no help from such community sources as social agencies or churches. This group is divided equally between those who expect to rely fully on family or friends—and thus needn’t seek other support—and those for whom the lack of established connections with community-based organizations might put them at risk of hardship in a situation of need.

How important is an established support network for fending off hardship? The evidence suggests that it’s very important, based on our multivariate analysis of the SIPP data. Let’s focus on the findings for four indicators of hardship—a missed rent or mortgage payment, a missed utility payment, a forgone doctor visit, and a forgone dentist visit. For each measure, between 9 and 12 percent of households experienced such a circumstance within one year of their interview. (Some of these households experienced multiple forms of hardship.)

For each indicator, those with an established support network—as evidenced by their expectation of receiving all help needed from family, friends, or others—experienced a significantly lower rate of hardship. These effects, relative to those expecting no help from each source, are estimated while controlling for such characteristics as the householder’s age, gender, race, ethnicity, and education, plus the household’s size, income, assets, and debt.

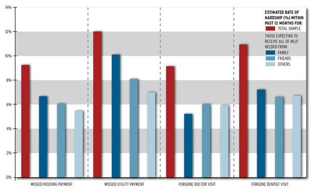
Strong Support Networks Reduce Likelihood of Hardship

Source: Urban Institute analysis of data from Survey of Income and Program Participation

Having a strong support network appears to provide considerable protection, lowering by about one-third the incidence of hardship—specifically, by 2 to 5 percentage points for each indicator, relative to its average of 9 to 12 percent.

The support available through family, friends, and community is clearly a key aspect of maintaining a household’s economic well-being. The role played by one’s support network seems especially important in a weakened economy, when these sources of help constitute a critical layer of protection beyond that provided by one’s own resources and publicly provided benefits and services.

Body

Let’s help communities build more secure, hopeful futures.

Today’s complex challenges demand smarter solutions. Urban brings decades of expertise to understanding the forces shaping people’s lives and the systems that support them. With rigorous analysis and hands-on guidance, we help leaders across the country design, test, and scale solutions that build pathways for greater opportunity.

Your support makes this possible.

DONATE

Research and Evidence Work, Education, and Labor
Expertise Labor Markets
Tags Employment and income data Unemployment and unemployment insurance